Calculadoras de Interés Compuesto

Publicado el 12 de junio de 2025, 11:02

¿Qué es el interés compuesto y cómo funciona?

El interés compuesto es uno de los conceptos más poderosos en el mundo de las finanzas personales y las inversiones. A diferencia del interés simple —que solo genera rendimientos sobre el capital inicial— el interés compuesto genera intereses sobre intereses, permitiendo que tu dinero crezca de forma acelerada con el tiempo.

¿Cómo funciona?

Imagina que inviertes $10,000 con una tasa de interés del 10% anual. Al final del primer año, habrás ganado $1,000 en intereses, y tu total será de $11,000.

Ahora, en lugar de retirar los intereses, los dejas invertidos. En el segundo año, el 10% ya no se aplica solo sobre los $10,000 iniciales, sino sobre los $11,000. Es decir, ganas $1,100 ese año. Al final del tercer año, el interés se calcula sobre $12,100, y así sucesivamente.

Este proceso —donde los intereses se reintegran al capital para seguir generando más intereses— es lo que llamamos interés compuesto. Con el tiempo, esta acumulación tiene un efecto exponencial.

Interés compuesto anual vs. mensual

Interés compuesto anual:

  • Los intereses se capitalizan una vez por año.

  • Es útil para inversiones de largo plazo como bonos, CETES, seguros o fondos que rinden anualmente.

  • A menudo se utiliza cuando haces una sola inversión y la dejas crecer sin aportes adicionales.

  • Fórmula general:

  • Donde:

    • M = monto final

    • C = capital inicial

    • r = tasa de interés anual (en decimal)

    • t = número de años

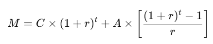
Interés compuesto mensual con aportes:

  • Los intereses se calculan y agregan al capital cada mes.

  • Es ideal cuando haces aportaciones mensuales (ahorro recurrente).

  • El crecimiento es más dinámico, ya que cada mes se añade capital y se calculan nuevos intereses.

  • Fórmula aproximada:

  • Donde:

    • M = monto final

    • C = capital inicial

    • r = tasa de interés mensual (tasa anual / 12)

    • A = aportación mensual

    • t = número de meses

¿Por qué es tan importante?

El interés compuesto es clave para alcanzar metas financieras a largo plazo, como:

  • Ahorro para el retiro

  • Educación universitaria de tus hijos

  • Fondo de emergencias

  • Compras importantes sin endeudarte

Lo más importante no es cuánto inviertes, sino cuándo empiezas. Cuanto antes comiences a invertir o ahorrar con interés compuesto, mayor será el impacto del tiempo sobre tus rendimientos.


Añadir comentario

Comentarios

Todavía no hay comentarios